图
图(Graph)

节点(Vertex)与边(Edge)- 图的表示:
邻接表和邻接矩阵- 这里可以分为
有向图和无向图无向图是一种特殊的有向图 有权图和无权图
- 这里可以分为
- 图的遍历:
(广度优先搜索)DFS(深度优先搜索)BFS常见可以解决的问题有:联通分量Flood Fill寻路走迷宫迷宫生成无权图的最短路径环的判断 - 最小生成树问题(Minimum Spanning Tree)
PrimKruskal - 最短路径问题(Shortest Path)
DijkstraBellman-Ford - 拓扑排序(Topological sorting)
图的定义
术语
什么是图
图是一种复杂的非线性结构。
在线性结构中,数据元素之间满足唯一的线性关系,每个数据元素(除第一个和最后一个外)只有一个直接前趋和一个直接后继;
在树形结构中,数据元素之间有着明显的层次关系,并且每个数据元素只与上一层中的一个元素(parent node)及下一层的多个元素(孩子节点)相关;
而在图形结构中,节点之间的关系是任意的,图中任意两个数据元素之间都有可能相关。
图G由两个集合V(顶点Vertex)和E(边Edge)组成,定义为G=(V,E)
图相关的概念和术语
无向图和有向图
对于一个图,若每条边都是没有方向的,则称该图为无向图。图示如下:

因此,(Vi,Vj)和(Vj,Vi)表示的是同一条边。注意,无向图是用小括号
无向图的顶点集和边集分别表示为:
V(G)={V1,V2,V3,V4,V5}
E(G)={(V1,V2),(V1,V4),(V2,V3),(V2,V5),(V3,V4),(V3,V5),(V4,V5)}
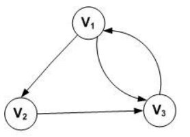
对于一个图G,若每条边都是有方向的,则称该图为有向图。图示如下。

因此,<Vi,Vj>和<Vj,Vi>是两条不同的有向边。注意,有向边又称为弧。
有向图的顶点集和边集分别表示为:
V(G) = {V1,V2,V3}
E(G) = {<V1,V2>,<V2,V3>,<V3,V1>,<V1,V3>}
无向完全图和有向完全图
我们将具有n(n-1)/2条边的无向图称为无向完全图(每两个节点之间都有一个条边)。同理,将具有n(n-1)条边的有向图称为有向完全图(每两个节点之间都有两条边,并且边是双向的)。
顶点的度
对于无向图,顶点的度表示以该顶点作为一个端点的边的数目。

对于有向图,顶点的度分为入度和出度。入度表示以该顶点为终点的入边数目,出度是以该顶点为起点的出边数目,该顶点的度等于其入度和出度之和。
记住,不管是无向图还是有向图,顶点数n,边数e和顶点的度数有如下关系:

子图
一个图中任意个数的节点组成的图称为该图的子图
路径,路径长度和回路
路径,比如在无向图G中,存在一个顶点序列Vp,Vi1,Vi2,Vi3…,Vim,Vq,使得(Vp,Vi1),(Vi1,Vi2),…,(Vim,Vq)均属于边集E(G),则称顶点Vp到Vq存在一条路径。
路径长度,是指一条路径上经过的边的数量。
回路,指一条路径的起点和终点为同一个顶点。
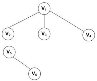
连通图(无向图)
连通图是指图中任意两个顶点Vi和Vj都连通,则称为连通图。

下面是一个非连通图的例子。

因为V5和V6是单独的,所以是非连通图。
强连通图(有向图)
强连通图是对于有向图而言的,与无向图的连通图类似。
网
带”权值“的连通图称为网。如图所示。

图的创建和遍历
图的创建
邻接矩阵
原理就是用两个数组,一个数组保存顶点集,一个数组保存边集。下面的算法实现里边我们也是采用这种存储结构。

邻接表
邻接表是图的一种链式存储结构。这种存储结构类似于树的孩子链表。对于图G中每个顶点Vi,把所有邻接于Vi的顶点Vj链成一个单链表,这个单链表称为顶点Vi的邻接表。
图的遍历
深度优先搜索遍历(DFS)
深度优先搜索是一个不断回溯的过程深度优先搜索DFS遍历类似于树的前序遍历。其基本思路是:
- 假设初始状态是图中所有顶点都未曾访问过,则可从图G中任意一顶点v为初始出发点,首先访问出发点v,并将其标记为已访问过。
- 然后依次从v出发搜索v的每个邻接点w,若w未曾访问过,则以w作为新的出发点出发,继续进行深度优先遍历,直到图中所有和v有路径相通的顶点都被访问到。
- 若此时图中仍有顶点未被访问,则另选一个未曾访问的顶点作为起点,重复上述步骤,直到图中所有顶点都被访问到为止。
图示如下:

注:红色数字代表遍历的先后顺序,所以图(e)无向图的深度优先遍历的顶点访问序列为:V0,V1,V2,V5,V4,V6,V3,V7,V8
如果采用邻接矩阵存储,则时间复杂度为O(n2);当采用邻接表时时间复杂度为O(n+e)。
#include <stdio.h> #define MAX_VERtEX_NUM 20 //顶点的最大个数 #define VRType int //表示顶点之间的关系的变量类型 #define InfoType char //存储弧或者边额外信息的指针变量类型 #define VertexType int //图中顶点的数据类型 typedef enum{false,true}bool; //定义bool型常量 bool visited[MAX_VERtEX_NUM]; //设置全局数组,记录标记顶点是否被访问过 typedef struct { VRType adj; //对于无权图,用 1 或 0 表示是否相邻;对于带权图,直接为权值。 InfoType * info; //弧或边额外含有的信息指针 }ArcCell,AdjMatrix[MAX_VERtEX_NUM][MAX_VERtEX_NUM]; typedef struct { VertexType vexs[MAX_VERtEX_NUM]; //存储图中顶点数据 AdjMatrix arcs; //二维数组,记录顶点之间的关系 int vexnum,arcnum; //记录图的顶点数和弧(边)数 }MGraph; //根据顶点本身数据,判断出顶点在二维数组中的位置 int LocateVex(MGraph * G,VertexType v){ int i=0; //遍历一维数组,找到变量v for (; i<G->vexnum; i++) { if (G->vexs[i]==v) { break; } } //如果找不到,输出提示语句,返回-1 if (i>G->vexnum) { printf("no such vertex.\n"); return -1; } return i; } //构造无向图 void CreateDN(MGraph *G){ scanf("%d,%d",&(G->vexnum),&(G->arcnum)); for (int i=0; i<G->vexnum; i++) { scanf("%d",&(G->vexs[i])); } for (int i=0; i<G->vexnum; i++) { for (int j=0; j<G->vexnum; j++) { G->arcs[i][j].adj=0; G->arcs[i][j].info=NULL; } } for (int i=0; i<G->arcnum; i++) { int v1,v2; scanf("%d,%d",&v1,&v2); int n=LocateVex(G, v1); int m=LocateVex(G, v2); if (m==-1 ||n==-1) { printf("no this vertex\n"); return; } G->arcs[n][m].adj=1; G->arcs[m][n].adj=1;//无向图的二阶矩阵沿主对角线对称 } } int FirstAdjVex(MGraph G,int v) { //查找与数组下标为v的顶点之间有边的顶点,返回它在数组中的下标 for(int i = 0; i<G.vexnum; i++){ if( G.arcs[v][i].adj ){ return i; } } return -1; } int NextAdjVex(MGraph G,int v,int w) { //从前一个访问位置w的下一个位置开始,查找之间有边的顶点 for(int i = w+1; i<G.vexnum; i++){ if(G.arcs[v][i].adj){ return i; } } return -1; } void visitVex(MGraph G, int v){ printf("%d ",G.vexs[v]); } void DFS(MGraph G,int v){ visited[v] = true;//标记为true visitVex( G, v); //访问第v 个顶点 //从该顶点的第一个边开始,一直到最后一个边,对处于边另一端的顶点调用DFS函数 for(int w = FirstAdjVex(G,v); w>=0; w = NextAdjVex(G,v,w)){ //如果该顶点的标记位false,证明未被访问,调用深度优先搜索函数 if(!visited[w]){ DFS(G,w); } } } //深度优先搜索 void DFSTraverse(MGraph G){// int v; //将用做标记的visit数组初始化为false for( v = 0; v < G.vexnum; ++v){ visited[v] = false; } //对于每个标记为false的顶点调用深度优先搜索函数 for( v = 0; v < G.vexnum; v++){ //如果该顶点的标记位为false,则调用深度优先搜索函数 if(!visited[v]){ DFS( G, v); } } } int main() { MGraph G;//建立一个图的变量 CreateDN(&G);//初始化图 DFSTraverse(G);//深度优先搜索图 return 0; }广度优先搜索遍历(BFS)
广度优先搜索遍历BFS类似于树的按层次遍历。其基本思路是:
- 首先访问出发点Vi
- 接着依次访问Vi的所有未被访问过的邻接点Vi1,Vi2,Vi3,…,Vit并均标记为已访问过。
- 然后再按照Vi1,Vi2,… ,Vit的次序,访问每一个顶点的所有未曾访问过的顶点并均标记为已访问过,依此类推,直到图中所有和初始出发点Vi有路径相通的顶点都被访问过为止。
图示如下:

因此,图(f)采用广义优先搜索遍历以V0为出发点的顶点序列为:V0,V1,V3,V4,V2,V6,V8,V5,V7
如果采用邻接矩阵存储,则时间复杂度为O(n2),若采用邻接表,则时间复杂度为O(n+e)。
#include <stdio.h> #include <stdlib.h> #define MAX_VERtEX_NUM 20 //顶点的最大个数 #define VRType int //表示顶点之间的关系的变量类型 #define InfoType char //存储弧或者边额外信息的指针变量类型 #define VertexType int //图中顶点的数据类型 typedef enum{false,true}bool; //定义bool型常量 bool visited[MAX_VERtEX_NUM]; //设置全局数组,记录标记顶点是否被访问过 typedef struct Queue{ VertexType data; struct Queue * next; }Queue; typedef struct { VRType adj; //对于无权图,用 1 或 0 表示是否相邻;对于带权图,直接为权值。 InfoType * info; //弧或边额外含有的信息指针 }ArcCell,AdjMatrix[MAX_VERtEX_NUM][MAX_VERtEX_NUM]; typedef struct { VertexType vexs[MAX_VERtEX_NUM]; //存储图中顶点数据 AdjMatrix arcs; //二维数组,记录顶点之间的关系 int vexnum,arcnum; //记录图的顶点数和弧(边)数 }MGraph; //根据顶点本身数据,判断出顶点在二维数组中的位置 int LocateVex(MGraph * G,VertexType v){ int i=0; //遍历一维数组,找到变量v for (; i<G->vexnum; i++) { if (G->vexs[i]==v) { break; } } //如果找不到,输出提示语句,返回-1 if (i>G->vexnum) { printf("no such vertex.\n"); return -1; } return i; } //构造无向图 void CreateDN(MGraph *G){ scanf("%d,%d",&(G->vexnum),&(G->arcnum)); for (int i=0; i<G->vexnum; i++) { scanf("%d",&(G->vexs[i])); } for (int i=0; i<G->vexnum; i++) { for (int j=0; j<G->vexnum; j++) { G->arcs[i][j].adj=0; G->arcs[i][j].info=NULL; } } for (int i=0; i<G->arcnum; i++) { int v1,v2; scanf("%d,%d",&v1,&v2); int n=LocateVex(G, v1); int m=LocateVex(G, v2); if (m==-1 ||n==-1) { printf("no this vertex\n"); return; } G->arcs[n][m].adj=1; G->arcs[m][n].adj=1;//无向图的二阶矩阵沿主对角线对称 } } int FirstAdjVex(MGraph G,int v) { //查找与数组下标为v的顶点之间有边的顶点,返回它在数组中的下标 for(int i = 0; i<G.vexnum; i++){ if( G.arcs[v][i].adj ){ return i; } } return -1; } int NextAdjVex(MGraph G,int v,int w) { //从前一个访问位置w的下一个位置开始,查找之间有边的顶点 for(int i = w+1; i<G.vexnum; i++){ if(G.arcs[v][i].adj){ return i; } } return -1; } //操作顶点的函数 void visitVex(MGraph G, int v){ printf("%d ",G.vexs[v]); } //初始化队列 void InitQueue(Queue ** Q){ (*Q)=(Queue*)malloc(sizeof(Queue)); (*Q)->next=NULL; } //顶点元素v进队列 void EnQueue(Queue **Q,VertexType v){ Queue * element=(Queue*)malloc(sizeof(Queue)); element->data=v; Queue * temp=(*Q); while (temp->next!=NULL) { temp=temp->next; } temp->next=element; } //队头元素出队列 void DeQueue(Queue **Q,int *u){ (*u)=(*Q)->next->data; (*Q)->next=(*Q)->next->next; } //判断队列是否为空 bool QueueEmpty(Queue *Q){ if (Q->next==NULL) { return true; } return false; } //广度优先搜索 void BFSTraverse(MGraph G){// int v; //将用做标记的visit数组初始化为false for( v = 0; v < G.vexnum; ++v){ visited[v] = false; } //对于每个标记为false的顶点调用深度优先搜索函数 Queue * Q; InitQueue(&Q); for( v = 0; v < G.vexnum; v++){ if(!visited[v]){ visited[v]=true; visitVex(G, v); EnQueue(&Q, G.vexs[v]); while (!QueueEmpty(Q)) { int u; DeQueue(&Q, &u); u=LocateVex(&G, u); for (int w=FirstAdjVex(G, u); w>=0; w=NextAdjVex(G, u, w)) { if (!visited[w]) { visited[w]=true; visitVex(G, w); EnQueue(&Q, G.vexs[w]); } } } } } } int main() { MGraph G;//建立一个图的变量 CreateDN(&G);//初始化图 BFSTraverse(G);//广度优先搜索图 return 0; }
总结
深度优先搜索算法的实现运用的主要是回溯法,类似于树的先序遍历算法。广度优先搜索算法借助队列的先进先出的特点,类似于树的层次遍历。
最小生成树和最短路径
最小生成树
什么是最小生成树呢?在弄清什么是最小生成树之前,我们需要弄清什么是生成树?
用一句语简单概括生成树就是:生成树是将图中所有顶点以最少的边连通的子图。
比如图(g)可以同时得到两个生成树图(h)和图(i)


知道了什么是生成树之后,我们就很容易理解什么是最小生成树了。所谓最小生成树,用一句话总结就是:权值和最小的生成树就是最小生成树。
比如上图中的两个生成树,生成树1和生成树2,生成树1的权值和为:12,生成树2的权值为:14,我们可以证明图(h)生成树1就是图(g)的最小生成树。
那么如何构造最小生成树呢?可以使用普里姆算法、克鲁斯卡尔算法
最短路径
求最短路径也就是求最短路径长度。下面是一个带权值的有向图,表格中分别列出了顶点V1其它各顶点的最短路径长度。

| 源点 | 最短路径 | 终点 | 路径长度 | |
|---|---|---|---|---|
| V1 | V1,V3,V2 | V2 | 中转 | 5 |
| V1 | V1,V3 | V3 | 直达 | 3 |
| V1 | V1,V3,V2,V4 | V4 | 中转 | 10 |
| V1 | V1,V3,V5 | V5 | 中转 | 18 |
表:顶点V1到其它各顶点的最短路径表
从图中可以看出,顶点V1到V4的路径有3条(V1,V2,V4),(V1,V4),(V1,V3,V2,V4),其路径长度分别为15,20和10,因此,V1到V4的最短路径为(V1,V3,V2,V4)。
那么如何求带权有向图的最短路径长度呢?可以使用迪杰斯特拉(Dijkstra)算法。
