树
树
树状图是一种数据结构,它是由n(n>=1)个有限结点组成一个具有层次关系的集合。把它叫做“树”是因为它看起来像一棵倒挂的树,也就是说它是根朝上,而叶朝下的。

**它具有以下的特点:**每个结点有零个或多个子结点;没有父结点的结点称为根结点;每一个非根结点有且只有一个父结点;除了根结点外,每个子结点可以分为多个不相交的子树;
树结构是一种非线性存储结构,存储的是具有“一对多”关系的数据元素的集合。
术语
节点深度:对任意节点x,x节点的深度表示为根节点到x节点的路径长度。所以根节点深度为0,第二层节点深度为1,以此类推
节点高度:对任意节点x,叶子节点到x节点的路径长度就是节点x的高度
树的深度:一棵树中节点的最大深度就是树的深度,也称为高度
父节点:若一个节点含有子节点,则这个节点称为其子节点的父节点
子节点:一个节点含有的子树的根节点称为该节点的子节点
节点的层次:从根节点开始,根节点为第一层,根的子节点为第二层,以此类推
兄弟节点:拥有共同父节点的节点互称为兄弟节点
度:节点的子树数目就是节点的度
叶子节点:度为零的节点就是叶子节点
祖先:对任意节点x,从根节点到节点x的所有节点都是x的祖先(节点x也是自己的祖先)
后代:对任意节点x,从节点x到叶子节点的所有节点都是x的后代(节点x也是自己的后代)
森林:m颗互不相交的树构成的集合就是森林
树的种类
无序树
树的任意节点的子节点没有顺序关系。
有序树
树的任意节点的子节点有顺序关系。
二叉树
树的任意节点至多包含两棵子树。
二叉树遍历:
二叉树的遍历是指从二叉树的根结点出发,按照某种次序依次访问二叉树中的所有结点,使得每个结点被访问一次,且仅被访问一次。
二叉树的访问次序可以分为四种:
前序遍历 中序遍历 后序遍历 层次遍历
二叉树的性质
二叉树有以下几个性质:TODO(上标和下标)
性质1:二叉树第i层上的结点数目最多为 2i-1 (i≥1)。
性质2:深度为k的二叉树至多有2k-1个结点(k≥1)。
性质3:包含n个结点的二叉树的高度至少为**(log2n)+1)**。
性质4:在任意一棵二叉树中,若终端结点的个数为n0,度为2的结点数为n2,则n0=n2+1。
2.1 性质1:二叉树第i层上的结点数目最多为 2{i-1} (i≥1)
证明:下面用"数学归纳法"进行证明。 (01) 当i=1时,第i层的节点数目为2{i-1}=2{0}=1。因为第1层上只有一个根结点,所以命题成立。 (02) 假设当i>1,第i层的节点数目为2{i-1}。这个是根据(01)推断出来的! 下面根据这个假设,推断出"第(i+1)层的节点数目为2{i}"即可。 由于二叉树的每个结点至多有两个孩子,故"第(i+1)层上的结点数目" 最多是 "第i层的结点数目的2倍"。即,第(i+1)层上的结点数目最大值=2×2{i-1}=2{i}。 故假设成立,原命题得证!
2.2 性质2:深度为k的二叉树至多有2{k}-1个结点(k≥1)
证明:在具有相同深度的二叉树中,当每一层都含有最大结点数时,其树中结点数最多。利用"性质1"可知,深度为k的二叉树的结点数至多为: 20+21+…+2k-1=2k-1 故原命题得证!
2.3 性质3:包含n个结点的二叉树的高度至少为log2 (n+1)
证明:根据"性质2"可知,高度为h的二叉树最多有2{h}–1个结点。反之,对于包含n个节点的二叉树的高度至少为log2(n+1)。
2.4 性质4:在任意一棵二叉树中,若终端结点的个数为n0,度为2的结点数为n2,则n0=n2+1
证明:因为二叉树中所有结点的度数均不大于2,所以结点总数(记为n)="0度结点数(n0)" + "1度结点数(n1)" + "2度结点数(n2)"。由此,得到等式一。 (等式一) n=n0+n1+n2 另一方面,0度结点没有孩子,1度结点有一个孩子,2度结点有两个孩子,故二叉树中孩子结点总数是:n1+2n2。此外,只有根不是任何结点的孩子。故二叉树中的结点总数又可表示为等式二。 (等式二) n=n1+2n2+1 由(等式一)和(等式二)计算得到:n0=n2+1。原命题得证!
满二叉树
叶子节点都在同一层并且除叶子节点外的所有节点都有两个子节点。

完全二叉树
对于一颗二叉树,假设其深度为d(d>1)。除第d层外的所有节点构成满 二叉树,且第d层所有节点从左向右连续地紧密排列,这样的二叉树被称为完全二叉树;

- 叶子结点只能出现在最下两层。
- 最下层的叶子一定集中在左部连续位置。
- 倒数二层,若有叶子结点,一定都在右部连续位置。
- 如果结点度为1,则该结点只有左孩子,即不存在只有右子树的情况。
- 同样结点数的二叉树,完全二叉树的深度最小。
完全满二叉树


哈夫曼树
带权路径最短的二叉树称为哈夫曼树或最优二叉树。
二叉查找树
(二叉搜索树、二叉排序树、BST)[这几个都是别名]
若任意节点的左子树不空,则左子树上所有节点的值均小于它的根节点的值;
若任意节点的右子树不空,则右子树上所有节点的值均大于它的根节点的值;
任意节点的左、右子树也分别为二叉查找树;``
没有键值相等的节点。
线索二叉树
在二叉树的结点上加上线索的二叉树称为线索二叉树,对二叉树以某种遍历方式(如先序、中序、后序或层次等)进行遍历,使其变为线索二叉树的过程称为对二叉树进行线索化。
平衡二叉树
它是一棵空树或它的左右两个子树的高度差的绝对值不超过1,并且左右两个子树都是一棵平衡二叉树,同时,平衡二叉树必定是二叉搜索树。
AVL树
在计算机科学中,AVL树是最先发明的自平衡二叉查找树。在AVL树中任何节点的两个子树的高度最大差别为1,所以它也被称为高度平衡树。增加和删除可能需要通过一次或多次树旋转来重新平衡这个树。
AVL树本质上还是一棵二叉搜索树,它的特点是:
- 本身首先是一棵二叉搜索树。
- 带有平衡条件:每个结点的左右子树的高度之差的绝对值(平衡因子)最多为1。
也就是说,AVL树,本质上是带了平衡功能的二叉查找树(二叉排序树,二叉搜索树)。
使用场景:
- AVL树适合用于插入删除次数比较少,但查找多的情况。
- 也在
Windows进程地址空间管理中得到了使用 - 旋转的目的是为了降低树的高度,使其平衡
红黑树
红黑树是每个节点都带有颜色属性的二叉查找树,颜色或红色或黑色。在二叉查找树强制一般要求以外,对于任何有效的红黑树我们增加了如下的额外要求:
- 性质1. 节点是红色或黑色。
- 性质2. 根节点是黑色。
- 性质3. 每个红色节点的两个子节点都是黑色。(从每个叶子到根的所有路径上不能有两个连续的红色节点)
- 性质4. 从任一节点到其每个叶子的所有路径都包含相同数目的黑色节点。
使用场景:
红黑树多用于搜索,插入,删除操作多的情况下红黑树应用比较广泛:
广泛用在
C++的STL中。map和set都是用红黑树实现的。著名的
linux进程调度Completely Fair Scheduler,用红黑树管理进程控制块。epoll在内核中的实现,用红黑树管理事件块nginx中,用红黑树管理timer等
伸展树
伸展树(Splay Tree),也叫分裂树,是一种二叉排序树,它能在O(log n)内完成插入、查找和删除操作。它由丹尼尔·斯立特Daniel Sleator 和 罗伯特·恩卓·塔扬
Robert Endre Tarjan 在1985年发明的。
在伸展树上的一般操作都基于伸展操作:假设想要对一个二叉查找树执行一系列的查找操作,为了使整个查找时间更小,被查频率高的那些条目就应当经常处于靠近树根的位置。于是想到设计一个简单方法, 在每次查找之后对树进行重构,把被查找的条目搬移到离树根近一些的地方。伸展树应运而生。伸展树是一种自调整形式的二叉查找树,它会沿着从某个节点到树根之间的路径,通过一系列的旋转把这个节点搬移到树根去。它的优势在于不需要记录用于平衡树的冗余信息。
替罪羊树
替罪羊树是计算机科学中,一种基于部分重建的自平衡二叉搜索树。在替罪羊树上,插入或删除节点的平摊最坏时间复杂度是O(log n),搜索节点的最坏时间复杂度是O(log n)。
在非平衡的二叉搜索树中,每次操作以后检查操作路径,找到最高的满足max(size(son_L),size(son_R))>alpha*size(this)的结点,重建整个子树。这样就得到了替罪羊树,而被重建的子树的原来的根就被称为替罪羊节点。替罪羊树替罪羊树是一棵自平衡二叉搜索树,由ArneAndersson提出。替罪羊树的主要思想就是将不平衡的树压成一个序列,然后暴力重构成一颗平衡的树。
B-tree(B-树或者B树)
一棵m阶B树(balanced tree of order m)是一棵平衡的m路搜索树。它或者是空树,或者是满足下列性质的树:
- 根结点至少有两个子女;
- 每个非根节点所包含的关键字个数 j 满足:┌m/2┐ - 1 <= j <= m - 1;
- 除根结点以外的所有结点(不包括叶子结点)的度数正好是关键字总数加1,故内部子树个数 k 满足:┌m/2┐ <= k <= m ;
- 所有的叶子结点都位于同一层。

B树(B-Tree)是一种自平衡的树,它是一种多路搜索树(并不是二叉的),能够保证数据有序。同时它还保证了在查找、插入、删除等操作时性能都能保持在O(logn),为大块数据的读写操作做了优化,同时它也可以用来描述外部存储(支持对保存在磁盘或者网络上的符号表进行外部查找)
B+树
B+树是B树的一种变形形式,B+树上的叶子结点存储关键字以及相应记录的地址,叶子结点以上各层作为索引使用。一棵m阶的B+树定义如下:
- 每个结点至多有m个子女;
- 除根结点外,每个结点至少有[m/2]个子女,根结点至少有两个子女;
- 有k个子女的结点必有k个关键字。
B+树的查找与B树不同,当索引部分某个结点的关键字与所查的关键字相等时,并不停止查找,应继续沿着这个关键字左边的指针向下,一直查到该关键字所在的叶子结点为止。
更适合文件索引系统
原因: 增删文件(节点)时,效率更高,因为B+树的叶子节点包含所有关键字,并以有序的链表结构存储,这样可很好提高增删效率
使用场景:
*文件系统和数据库系统中常用的B/B+ 树,他通过对每个节点存储个数的扩展,使得对连续的数据能够进行较快的定位和访问,能够有效减少查找时间,提高存
储的空间局部性从而减少IO操作。他广泛用于文件系统及数据库中,如:
- Windows:HPFS 文件系统
- Mac:HFS,HFS+ 文件系统
- Linux:ResiserFS,XFS,Ext3FS,JFS 文件系统
- 数据库:ORACLE,MYSQL,SQLSERVER 等中
- B树:有序数组+平衡多叉树
- B+树:有序数组链表+平衡多叉树
B树
B树是B+树的变体,在B+树的非根和非叶子结点再增加指向兄弟的指针;B树定义了非叶子结点关键字个数至少为(2/3)*M,即块的最低使用率为2/3(代替B+树的1/2)。
B+树的分裂:当一个结点满时,分配一个新的结点,并将原结点中1/2的数据复制到新结点,最后在父结点中增加新结点的指针;B+树的分裂只影响原结点和父结点,而不会影响兄弟结点,所以它不需要指向兄弟的指针;
B树的分裂:当一个结点满时,如果它的下一个兄弟结点未满,那么将一部分数据移到兄弟结点中,再在原结点插入关键字,最后修改父结点中兄弟结点的关键字(因为兄弟结点的关键字范围改变了);如果兄弟也满了,则在原结点与兄弟结点之间增加新结点,并各复制1/3的数据到新结点,最后在父结点增加新结点的指针;
所以,B树分配新结点的概率比B+树要低,空间使用率更高;
字典树
又称单词查找树,Trie树,是一种树形结构,是一种哈希树的变种。典型应用是用于统计,排序和保存大量的字符串(但不仅限于字符串),所以经常被搜索引擎系统用于文本词频统计。它的优点是:利用字符串的公共前缀来减少查询时间,最大限度地减少无谓的字符串比较,查询效率比哈希树高。
它有3个基本性质:
- 根节点不包含字符,除根节点外每一个节点都只包含一个字符;
- 从根节点到某一节点,路径上经过的字符连接起来,为该节点对应的字符串;
- 每个节点的所有子节点包含的字符都不相同。
二叉树遍历
前序遍历
第一次成为栈顶元素的时候
根在前,从左往右,一棵树的根永远在左子树前面,左子树又永远在右子树前面(根左右)
前序遍历(DLR),是二叉树遍历的一种,也叫做先根遍历、先序遍历、前序周游,可记做根左右。前序遍历首先访问根结点然后遍历左子树,最后遍历右子树。
前序遍历首先访问根结点然后遍历左子树,最后遍历右子树。在遍历左、右子树时,仍然先访问根结点,然后遍历左子树,最后遍历右子树。
若二叉树为空则结束返回,否则:
(1)访问根结点
(2)前序遍历左子树
(3)前序遍历右子树

需要注意的是:遍历左右子树时仍然采用前序遍历方法。
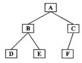
如右图所示二叉树
前序遍历结果:ABDECF
递归
class Solution {
public List<Integer> preorderTraversal(TreeNode root) {
List<Integer> res = new ArrayList<Integer>();
perorder(root, res);
return res;
}
public void perorder(TreeNode node, List<Integer> res){
if(node == null) return;
res.add(node.val);
perorder(node.left, res);
perorder(node.right, res);
}
}
迭代
class Solution {
public List<Integer> preorderTraversal(TreeNode root) {
List<Integer> res = new ArrayList<>();
Deque<TreeNode> stack = new LinkedList<>();
while(root != null || !stack.isEmpty()){
while(root != null){
res.add(root.val);
stack.push(root);
root = root.left;
}
root = stack.pop();
root = root.right;
}
return res;
}
}
中序遍历
第二次成为栈顶元素的时候
根在中,从左往右,一棵树的左子树永远在根前面,根永远在右子树前面(左根右)
中序遍历(LDR)是二叉树遍历的一种,也叫做中根遍历、中序周游。在二叉树中,中序遍历首先遍历左子树,然后访问根结点,最后遍历右子树。
中序遍历首先遍历左子树,然后访问根结点,最后遍历右子树。若二叉树为空则结束返回,否则:
(1)中序遍历左子树
(2)访问根结点
(3)中序遍历右子树

如右图所示二叉树,中序遍历结果:DBEAFC
递归
class Solution {
public List<Integer> inorderTraversal(TreeNode root) {
List<Integer> res = new ArrayList<Integer>();
inorder(root, res);
return res;
}
public void inorder(TreeNode node, List<Integer> res){
if(node == null) return;
inorder(node.left, res);
res.add(node.val);
inorder(node.right, res);
}
}
迭代
class Solution {
public List<Integer> inorderTraversal(TreeNode root) {
List<Integer> res = new ArrayList<>();
Deque<TreeNode> stack = new LinkedList<>();
while(root != null || !stack.isEmpty()){
while(root != null){
stack.push(root);
root = root.left;
}
root = stack.pop();
res.add(root.val);
root = root.right;
}
return res;
}
}
后序遍历
第三次成为栈顶元素的时候
根在后,从左往右,一棵树的左子树永远在右子树前面,右子树永远在根前面(左右根)
后序遍历(LRD)是二叉树遍历的一种,也叫做后根遍历、后序周游,可记做左右根。后序遍历有递归算法和非递归算法两种。在二叉树中,先左后右再根,即首先遍历左子树,然后遍历右子树,最后访问根结点。
后序遍历首先遍历左子树,然后遍历右子树,最后访问根结点,在遍历左、右子树时,仍然先遍历左子树,然后遍历右子树,最后遍历根结点。即:
若二叉树为空则结束返回,
否则:
(1)后序遍历左子树
(2)后序遍历右子树
(3)访问根结点

如右图所示二叉树
后序遍历结果:DEBFCA
递归
class Solution {
public List<Integer> postorderTraversal(TreeNode root) {
List<Integer> res = new ArrayList<Integer>();
postorder(root, res);
return res;
}
public void postorder(TreeNode node, List<Integer> res){
if(node == null) return;
postorder(node.left, res);
postorder(node.right, res);
res.add(node.val);
}
}
迭代
class Solution {
public List<Integer> postorderTraversal(TreeNode root) {
List<Integer> res = new ArrayList<>();
Deque<TreeNode> stack = new LinkedList<>();
TreeNode prevNode = null;
while(root != null || !stack.isEmpty()){
while(root != null){
stack.push(root);
root = root.left;
}
root = stack.pop();
if(root.right == null || root.right == prevNode){
res.add(root.val);
prevNode = root;
root = null;
}else{
stack.push(root);
root = root.right;
}
}
return res;
}
}
已知前序遍历和中序遍历,就能确定后序遍历。
层序遍历
层序遍历,就是按层,从上到下,从左到右遍历

递归
import java.util.*;
class Solution {
public List<List<Integer>> levelOrder(TreeNode root) {
if (root == null) {
return new ArrayList<List<Integer>>();
}
// 用来存放最终结果
List<List<Integer>> res = new ArrayList<List<Integer>>();
dfs(1, root, res);
return res;
}
void dfs(int index, TreeNode root, List<List<Integer>> res) {
// 假设res是[ [1],[2,3] ], index是3,就再插入一个空list放到res中
if (res.size() < index) {
res.add(new ArrayList<Integer>());
}
// 将当前节点的值加入到res中,index代表当前层,假设index是3,节点值是99
// res是[ [1],[2,3] [4] ],加入后res就变为 [ [1],[2,3] [4,99] ]
res.get(index - 1).add(root.val);
// 递归的处理左子树,右子树,同时将层数index+1
if (root.left != null) {
dfs(index + 1, root.left, res);
}
if (root.right != null) {
dfs(index + 1, root.right, res);
}
}
}
Morris遍历
Morris遍历细节
假设来到当前节点cur,开始时cur来到头节点位置
- 如果cur没有左孩子,cur向右移动(cur = cur.right)
- 如果cur有左孩子,找到左子树上最右的节点mostRight:
- 如果mostRight的右指针指向空,让其指向cur,然后cur向左移动(cur = cur.left)
- 如果mostRight的右指针指向cur,让其指向null,然后cur向右移动(cur = cur.right)
- cur为空时遍历停止
总结

